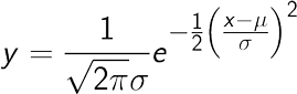
Statistics Introducción a la estadística descriptiva: Usando la media, la mediana y la desviación estándar por Liz Roth-Johnson, Ph.D. Lectura Prueba Enseñe con esto ¿Qué respuesta describe mejor la desviación estándar? La desviación estándar es una medida de la dispersión de un conjunto de datos. La desviación estándar indica cuánto varían los valores individuales de la media. La desviación estándar ayuda a los científicos a resumir cuánta variación hay en un conjunto de datos o una población. Todas las respuestas son correctas. Significa es otra palabra para promedio mediana desviación estándar conjunto de datos Si la puntuación media de dos conjuntos de datos diferentes es la misma, la desviación estándar será necesariamente la misma. verdadero falso Si un conjunto de datos se distribuye uniformemente alrededor de la media, esto se llama distribución normal distribución gaussiana curva de campana Todas las respuestas son correctas. The shape of a graph with a normal distribution (equation below) is defined by la media y la mediana. la media y la desviación estándar. la mediana y la desviación estándar. la desviación estándar sola. Mire los totales de lluvia de los primeros cinco meses del año en Bisbee, AZ (tabla a continuación). ¿Cuál es la precipitación media en Bisbee de enero a mayo? 18.5 23 mm 24 mm 33 mm Mire los totales de lluvia de los primeros cinco meses del año en Bisbee, AZ (tabla a continuación). ¿Cuál es el valor medio de las precipitaciones en Bisbee de enero a mayo? 18.5 milímetros 23 mm 24 mm 33 mm Cuando un conjunto de datos tiene un número par de valores, la mediana es La misma que la media de todo el conjunto de datos. la media de los valores más altos y más bajos del conjunto de datos. La media de los dos valores intermedios del conjunto de datos. ninguna de las respuestas Si un experimento se repite correctamente varias veces, debería producir una distribución de medidas alrededor de algún valor central. un valor único que se obtiene todas y cada una de las veces. resultados que varían amplia y aleatoriamente. resultados impredecibles. Los estudiantes de dos clases de ciencias tomaron un examen. Ambas clases tuvieron la misma puntuación media de 76. Sin embargo, la Clase # 1 mostró una desviación estándar de 10, mientras que la Clase # 2 mostró una desviación estándar de 16. Esto significa que La clase n. ° 2 obtuvo mejores calificaciones en las pruebas en general que la clase n. ° 1. hubo un rango más amplio de puntajes en la Clase # 1 que en la Clase # 2. hubo un rango más amplio de puntajes en la Clase # 2 que en la Clase # 1. el puntaje promedio de la Clase # 2 fue 6 puntos más alto que el puntaje promedio de la Clase # 1. Si una distribución es "anormal", no se puede utilizar para ayudar a los científicos a resumir conjuntos de datos. verdadero falso Se pueden utilizar estadísticas descriptivas para resumir la distribución de los puntajes de las pruebas en una clase. cómo evolucionan los rasgos genéticos de una generación a la siguiente. las velocidades relativas de las moléculas de gas. Todas las respuestas son correctas. Resultados de Prueba