Alphabetical

Charles's Law

[noun]

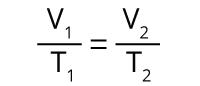
The relationship between a gas’s volume (V) and its temperature (T), which was first observed by Jacques Charles. Charles’s Law states that for a fixed amount of gas at a constant pressure, the gas’s volume increases linearly as its absolute temperature increases.

Sign in or register

For an ad-free experience and access the Visionlearning Classroom, sign in or register.