Genética

ADN II: La estructura del ADN


¿Sabia usted que las combinaciones precisas de cuatro bases de nitrógeno forman miles de millones de nucleótidos que constituyen nuestras moléculas de ADN únicas? Esta información es almacenada en la secuencia de base de una sola hebra de ADN incluye toda la información genética en su cuerpo y nos da nuestros rasgos genéticos individuales.

Mire a su alrededor, y compruebe que la mayoría de los objetos que le son familiar se arruinarán si no se los mantiene constantemente: un auto se oxidará y se romperá, una casa tendrá goteras en el techo y se caerá, hasta las montañas se erosionarán con el viento y la lluvia. Sin embargo, la vida terrestre continua y hasta florece. Sus hijos no son más débiles o más propensos a quebrarse que usted. Esto se debe a que las seres vivos tienen una fascinante y única habilidad de reproducir y "copiarse" a sí mismos. Para hacerlo, deben copiar primero su material genético, su ADN (vea nuestro módulo ADN I para mayor información). Las propiedades químicas exclusivas del ADN son las que permiten generar copias del material genético. Como sabemos, los seres vivos envejecen y se deterioran, igual que una casa vieja y un automóvil oxidado, pero la vida continúa cuando nuestro ADN se reproduce y se transmite a nuestros descendientes.

Las partes integrantes del ADN

Los científicos empezaron a investigar las propiedades químicas únicas del ADN mucho antes que se entendiese la estructura de la molécula y hasta antes que se descubriese que el ADN era el material genético. A finales de los 1800, el químico suizo J. Friedrich Miescher trabajaba en Alemania y estudiaba las células sanguíneas blancas (leucocitos). Debido a que éstas son el componente principal del pus, Miescher iba al hospital más cercano y recogía pus de las vendas desechadas. Encontró que el núcleo de estas células tenía un alto contenido de una sustancia desconocida en ese entonces que contaba con varios elementos, entre otros, el fósforo y el nitrógeno. A esta sustancia la llamó "nuclein" porque se encontraba en el núcleo de las células. Ahora sabemos que el "nuclein" de Miescher (más tarde se lo denominaría ácido nucleico, debido a sus propiedades químicas) contenía el ADN.

A principios del 1900, el bioquímico lituano-americano Phoebus Levene, investigó más a fondo la composición química del ácido nucleico y pudo seguir purificando el material. Aunque Levene no era el primer científico que lograba purificar exitosamente el ADN, si estaba excepcionalmente cualificado para determinar correctamente su composición ya que tenía una vasta pericia en el área de la química de los carbohidratos y azúcares. Cuando analizó las propiedades químicas del ácido nucleico, descubrió que en el ADN abundaba tres cosas: azúcares de cinco átomos de carbono (pentosas), fosfatos (como ya había descubierto Miescher) y bases de nitrógeno. Por ende, Levene dedujo correctamente que la molécula del ADN estaba compuesta de moléculas más pequeñas unidas entre sí y que éstas, a las que llamó nucleótidos, tenían tres partes: un azúcar de cinco átomos de carbono, un grupo de fosfato (PO4), y una de cuatro bases de nitrógeno posibles - adenina, citosina, guanina o timina (la abreviación frecuente de éstas es: A, C, G, y T).

Levene acertó al identificar las tres partes del nucleótido y al determinar que los nucleótidos se unían para formar el ADN. Sin embargo, en 1928, propuso incorrectamente que uno de los cuatro nucleótidos se unían en una molécula circular pequeña y que estos "tetranucleótidos" eran la base del ADN (Levene y London,1928) (Figura 1).

Figura 1: Phoebus Levene postuló la hipótesis incorrecta que el ADN estaba compuesto de tetranucleótidos circulares.

image ©John Schmidt

Debido a que Levene creía que el ADN era una estructura circular simple, rechazó la noción que podía ser el material genético y se puso firmemente del lado de aquellos que creían que las proteínas contenían el código genético de los organismos. Sin embargo, mucho tiempo después, en los 1940, un científico austriaco americano, Edwin Chargaff informó que el ADN de varias especies de seres vivos tenían diferentes cantidades de los cuatro nucleótidos (Vischer y Chargaff,1948).Esto contradecía claramente la hipótesis de Leven, de que el ADN era simplemente un tetranucleótido circular. Los científicos empezaron a proponer otras estructuras posibles para la moléculas ADN. A pesar de equivocarse, Levene contribuyó sustancialmente a nuestro conocimiento del ADN.

Gracias al trabajo de Levene y de otros, a principios de 1910 se estableció la estructura química de los nucleótidos individuales. A continuación se pueden ver diagramas de las tres partes de un nucleótido (Figura 2).

Figura 2: Un nucleótido. El azúcar de 5 carbonos, la desoxirribosa, forma el centro de la molécula. Pegada al carbón #1 está la base del nitrógeno y al #5 la del grupo de fosfato (pueden haber 1, 2 o 3 fosfatos en un nucleótido).

La desoxirribosa se llama así porque cuando Levene la descubrió, le faltaba un átomo de oxígeno en comparación con otro azúcar que descubrió y que llamó ribosa (figura 3).

Figura 3: Ribosa vs. desoxirribosa. Estas dos pentosas, o ázucares de cinco carbones, se diferencian solamente por la presencia del oxígeno en la ribosa en el carbón #2. En el carbón #2 de la desoxirribosa, hay una H en vez de la -OH de la ribosa. Sin embargo, los hidrógenos solos no aparecen frecuentemente en los dibujos de las moléculas orgánicas, como se muestra aquí.

El oxígeno que le falta a la desoxirribosa está en el carbón # 2, por lo que el nombre completo del azúcar es 2'-desoxirribosa. (En la bioquímica, frecuentemente se enumera a los carbones en los grupos de azúcares con el símbolo primo (como en 2'), para aclarar que el carbón al que se refiere está en el azúcar y no en otra parte de la molécula).

Levene acertó en deducir las conexiones entre los nucleótidos. El nombre químico para estas conexiones es: enlaces fosfodiester. A estos enlaces se los llama frecuentemente "5' a 3' conexiones" porque una molécula de fosfato (PO4) funciona como el puente entre el carbón 5' de un nucleótido y el carbón 3' del siguiente (figura 4).

Figura 4: Los enlaces fosfodiester. Los nucleótidos están conectados entre sí a través de un grupo de fosfatos que están conectados al carbón 5' de un nucleótido y al 3' de otro.

image ©Visionlearning, Inc.

Aunque originalmente Levene pensó que cuatro nucleótidos estaban conectados en una molécula circular, hoy sabemos que los nucleótidos individuales están conectados para formar una estructura lineal muy larga (Figura 5).

Figura 5: La cadena de nucleótidos. Como se muestra en el dijo, los grupos de ázucares y fosfatos están conectados en una larga cadena. Esto se llama el "esqueleto azúcar-fosfato", mientras que las bases de nitrógeno están conectadas al esqueleto.

image ©Visionlearning, Inc.

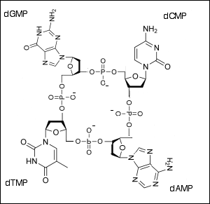
Los cuatro nucleótidos del ADN están agrupados en dos "familias" basadas en su estructura química: las purinas, adenina y guanina, tienen una estructura con tres anillos; y las pirimidinas, citosina y timina, tienen solamente dos anillos (Figura 6).

Figura 6: Los cuatro nucleótidos del ADN.

Por consiguiente, los hilos del ADN dentro de nuestras células son polímeros de unidades de nucleótidos que se repiten. El orden preciso, o secuencia, de los mil millones de nucleótidos, los A, C, G y T, es el que forma nuestras moléculas de ADN y lo que nos da nuestros rasgos genéticos únicos.

Punto de Comprensión
Nucleotides are
Correct!
Incorrect.

El descubrimiento de la doble hélice

A finales de los 1940 y 1950 cuando se comprendieron las partes integrantes del ADN, los científicos empezaron a estudiar la estructura mayor del ADN tomando rayos X de difracción de las moléculas de ADN purificadas. Sin embargo, las imágenes que tomaron no concordaban con los simples hilos lineales de los nucleótidos, como se muestra en la figura 5. En vez de eso, las imágenes mostraban que el ADN es aun más complejo y que tiene una forma muy regular y simétrica.

Varios científicos empezaron a proponer otras estructuras posibles para la molécula del ADN basándose en esta investigación. Debido a que las imágenes probaban la forma simétrica y que las pruebas químicas indicaban que el ADN era un polímero de los nucleótidos, muchos científicos pensaron que las múltiples hileras se entrelazaban entre sí, como una soga o trenza. En realidad, Linus Pauling, un científico americano muy conocido, había imaginado que el ADN era una hélice de tres puntas, tres hileras de nucleótidos que se entrelazaban. Pauling, que más tarde ganaría el Premio Nobel por descubrir la estructura de hélice alfa de las proteínas, publicó un informe proponiendo un modelo de hélice triple del ADN en 1952 (Pauling y Corey,1953). Sin embargo, la práctica de Pauling de construir modelos de las estructuras moleculares se popularizó y otros bioquímicos de esa época la usaron, por lo que se conoce este periodo como la era de la construcción de modelos.

Figura 7: Rosalind Franklin.

image ©Museum of London

Otros científicos propusieron varias formas de ADN en forma de hélice. En 1951, el biólogo molecular inglés Francis Crick y James Watson publicaron su versión incorrecta del modelo de hélice triple. Sin embargo, las imágenes de difracción de ese entonces eran relativamente de mala calidad y resolución. A medida que la técnica mejoró, una química brillante llamada Rosalind Franklin (Figura 7), que trabajaba en King´s College en Inglaterra, pudo tomar imágenes de rayos X de difracción con una resolución superior.

Las imágenes de Franklin que eran de alta calidad confirmaron que el ADN es en realidad una hélice doble, dos hileras entrelazadas. Sin embargo, la primera molécula de dos hileras construida por Watson y Crick tenía el dorso de dos hileras del azúcar y fosfato entrelazadas y las bases de nitrógeno dirigidas hacia afuera. Rosalind Franklin observó el error en este modelo. Le hizo ver a Watson y Crick que las bases nitrogenadas no se disuelven fácilmente en el agua y, por ende, no podían estar dirigidas hacia afuera, donde estarían rodeadas de las moléculas de agua de la célula. En vez de eso, ella argumentó que los azúcares y fosfatos, que se disuelven en el agua, están dirigidos hacia afuera, hacia el agua, y que las bases de nitrógeno estarían dirigidas hacia adentro de la molécula, lejos de las moléculas de agua, tal vez interactuando entre ellas.

Punto de Comprensión
The double helix structure of DNA was confirmed by
Incorrect.
Correct!

Ley de Chargaff

Este consejo fue esencial para Watson y Crick y los llevó a destruir el modelo y construir otro. Esta vez, construyeron una hélice doble con el dorso del azúcar y fosfato hacia afuera de la hélice y las bases de nitrógeno mirando hacia el interior. Se dieron cuenta que las bases de nitrógeno de las dos hileras estaban cerca y que probablemente interactuarían. Los estudios previos de Edwin Chargaff formaron parte esencial de esta prueba y les ayudó a descubrir esto. Además de demostrar que los diferentes organismos tienen diferentes cantidades de las cuatro bases de nitrógeno del ADN, en 1951, Chargaff también informó que la cantidad de Adenina (A) siempre equivale a la cantidad de timina (T) y que la cantidad de citosina (C) siempre equivale a la cantidad de guanina (G). Esta es la "Ley de Chargaff."

Con esta ley en mente, Watson y Crick tuvieron una revelación. Pensaron que si la molécula tiene una doble hilera, cada vez que la A estaba en una hilera de la molécula, una T aparecería en la posición complementaria de las hilera opuesta (y viceversa). Además, cada vez que había una C en un lado, una G estaría en el otro. Esto explicaría la veracidad de la ley Chargaff. Pero había un problema. Las bases de nitrógeno no encajaban en esta configuración. Franklin había tomado imágenes muy buenas de la molécula ADN que demostraban que era una estructura apretada y estrecha. Cuando las moléculas grandes interactúan estrechamente, las moléculas más pequeñas que están muy apretadas tienen que ser "complementarias," como dos piezas de un rompecabezas. Por ejemplo, una carga negativa está asociada a una carga positiva, etc. Watson y Crick sabían que las bases de nitrógeno no encajaban muy bien.

Punto de Comprensión
"Chargaff's Law" has to do with
Incorrect.
Correct!

La doble hélice del ADN y su estructura anti-paralela

La revelación que finalmente permitió que Watson y Crick completen su modelo llegó en un momento que describieron como un "golpe de inspiración," cuando Watson se dio cuenta que los nucleótidos encajarían si uno estaba de un lado y el otro de otro lado. (Según Watson, vio esta posibilidad cuando se sentó enfrente de Crick en una mesa y los dos estaban trabajando con pequeños modelos de nucleótidos). Esta orientación "patas arriba" se da si las dos hileras que se entrelazan no apuntan en la misma dirección, sino en direcciones opuestas. Por consiguiente, estas dos hileras son anti-paralelas, como el tráfico de una vía de dos carriles (Figura 8).

Figura 8: La doble hélice del ADN y su estructura anti-paralela. Observe que el dorso del ázucar y fosfato están afuera de la "escalera", mientras que las bases se dirigen hacia adentro. Observe también que la orientación de las dos hileras es "antiparalela" y que por ende parece estar patas arriba cuando se las compara. Esto se puede observar más facilmente cuando se mira a los ázucares de las pentosas (anarajado).

image ©Visionlearning, Inc.

Ahora sí que tenía sentido. Con las dos hileras entrelazadas en una configuración anti-paralela, Watson y Crick pudieron encajar las hileras, como lo demuestra la imagen de Franklin, y la estructura es regular y simétrica. Es más, las bases de nitrógeno encajan perfectamente a través de un tipo de atracción química llamada enlace de hidrógeno. Los enlaces de hidrógeno sujetan dos hileras de manera estable, pero no permanente. Específicamente, una base con el par Adenina-Timina tiene dos enlaces de hidrógeno (ver la Figura 8).

Debido a esta estructura anti-paralela, los científicos dicen que para distinguir las dos hileras de ADN, una hilera está orientada "5' a 3' " y la otra es "3' a 5'." Esto hace referencia a la conexión 5'-3' en el dorso del azúcar y fosfato. La maquinaria de la célula también usa esta orientación para seleccionar la dirección en las que se lee la información genética contenida en la secuencia del nucleótido. Imagine que intenta leer una oración en español de las derecha a la izquierda. Esto no tendría sentido porque lo correcto es leer de la izquierda a la derecha. De igual manera, el código de ADN debe leerse en la dirección correcta, que es 5' a 3'.

Lo bueno de la configuración anti-paralela de hélice doble se puede ver en el apareamiento complementario de la base, según la ley Chargaff. Si conocemos las secuencia de los nucleótidos en una hélice, podemos predecir correctamente los nucleótidos de la otra. La Adenina de un lado de la molécula del ADN estaría apareada con la Timina del otro lado, y así sucesivamente. Por ende, si las dos hileras están separadas, podemos mirar cualquiera de estas hileras y saber exactamente que hay en la hilera complementaria. En realidad, esto es lo que ocurre cuando se realiza la réplica del ADN: el ADN de doble hélice se abre y cada una de las hileras funciona como la copia para sintetizar una hilera nueva. Esto resulta en dos ADN de doble hélice nuevos, que son idénticos entre sí y a la hilera original (Figura 9).

Figura 9: El esquema del método de la réplica del ADN propuesto por Watson y Crick. En este modelo, las dos hileras originales de la molécula del ADN están separadas. Después, los nucleótidos complementarios (A con T, G con C, etc.) se añaden a las dos hileras originales. El resultado son dos moléculas de ADN, ambas idénticas a la hilera original (y por ende, a sí mismas) y ambas con una hilera nueva y otra vieja.

image ©Visionlearning, Inc.

Una vez que Watson y Crick construyeron el modelo correcto, se pudo ver que la configuración anti paralela y que la base del par de enlace de hidrógeno permitían que la réplica del ADN fuese simple y eficaz. En realidad, la última frase de su árticulo de investigación de 1953 donde anunciaban las estructura del ADN decía: "No hemos dejado de notar que los pares específicos que hemos postulado sugieren la posibilidad de un mecanismo para copiar el material genético." Watson y Crick publicaron su modelo de ADN en la revista Nature en 1953, y este modelo les valió el Premio Nobel en 1962.

Ha habido mucho debate sobre si Rosalind Franklin, una mujer científica en los 1950, lo cual no era muy común, recibió suficiente reconocimiento por su contribución esencial en este importante descubrimiento. Desgraciadamente, ella murió de cáncer de ovario cinco años antes de la construcción del modelo y el Premio Nobel no se otorga póstumamente. En los 1950, los científico no tenían conciencia de los riesgos de cáncer debido a la exposición frecuente de los rayos X y no se protegían de las radiaciones de estos equipos. Por tanto, es posible que la muerte prematura de Franklin se deba a su dedicación a la investigación científica y su búsqueda de las estructura de la molécula del ADN.

Punto de Comprensión
From the sequence of nucleotides on one DNA strand, we can predict
Correct!
Incorrect.

¿Cómo se guarda la información en el ADN?

Con el descubrimiento de la estructura del ADN, se revelaron varias propiedades fascinantes de la molécula. La molécula no solamente es capaz de duplicarse: además la información almacenada en la base de la secuencia de una hilera del ADN, almacena toda la información genética del cuerpo de una persona. Piense en los números de teléfono almacenados en su celular. Cada dígito por sí mismo no significa nada. Pero cuando se los pone uno detrás de otro en una secuencia precisa (por ejemplo, 6-4-6-5-5-7-4-5-0-4), estos números forman un código que permite contactar otro teléfono. Lo mismo ocurre con el ADN. Las bases T, C, A y G no significan nada por sí mismas. Sin embargo, una secuencia larga como ATGGCTAGCTCGATCGTACGT... puede formar un código para construir una molécula importante en el cuerpo humano. Esta molécula puede desempeñar una función en el cuerpo que permite que el corazón lata, que el estomago digiera, que los músculos se flexionen o que el cerebro piense. Por ende, frecuentemente se denomina al ADN el "mapa genético de la vida," debido a que las secuencias de los nucleótidos proveen información a las células para que éstas desarrollen proteínas y otras moléculas. En otros módulos se explora como las células usan este mapa para desarrollar otras moléculas.


Nathan H Lents, Ph.D. “ADN II” Visionlearning Vol. BIO-3 (1), 2009.

Referencias

  • Franklin, R., & Gosling, R. G. (1953). Molecular configuration in sodium thymonucleate, Nature, 171: 740-741.

  • Levene, P. A., & London, E. J. (1928). On the structure of thymonucleic acid. Science, 68(1771): 572-573.
  • Maddox, B. (2003). Rosalind Franklin: The dark lady of DNA. New York: Harper Perennial.
  • Pauling, L., & Corey, R. B. (1953). A proposed structure for the nucleic acids. Proc Natl Acad Sci USA, February 1953, 39(2): 84-97.
  • Vischer, E., & Chargaff, E. (1948). The composition of the pentose nucleic acids of yeast and pancreas. J Biol Chem, 176(2): 715-734.
  • Watson, J. D., & Crick, F. H. (1953). Molecular structure of nucleic acids; a structure for deoxyribose nucleic acid. Nature, 171(4356): 737-738.
  • Watson, J. D. (1968). The double helix: A personal account of the discovery of the structure of DNA. New York: Atheneum.