Los Ciclos de la Tierra

El Ciclo del Fósforo: Phosphates and fertilizer


¿Sabia usted que plantas y animales no pueden vivir sin el fosforo, y sin embargo es uno de los elementos mas difíciles de los cuales los seres vivientes adquieren de la naturaleza? El fósforo es la base de nuestros dientes y huesos y hasta provee la estructura de nuestro ADN. Otros elementos importantes están disponibles en la atmósfera, pero el fósforo ocurre solamente en el estado liquido o solido en temperaturas normales, entonces existe menos disponible para que organismos lo utilicen.

Por siglos, alquimistas por todo el mundo buscaron incansablemente la piedra filosofal – una sustancia que se rumoraba tener la habilidad de cambiar metales bases como el plomo a oro (figura 1). Como el santo grial, los cuentos dicen que esta piedra también era capaz de curar enfermedades, prolongar la vida, y hasta crear el clon del usuario. El alquimista Aleman Hennig Brand fue un de esos perseguidores de la piedra filosofal. Tanto que consumió casi toda la herencia de su primera esposa es sus intentos y utilizó el dote de su segunda esposa para hacer lo mismo.

Figura 1: El Alquimista en búsqueda de la Piedra Filosofal, por Joseph Wright de Derby, aceite en lienzo, 1771.

image ©Wikimedia Commons

En 1669, Brand conducía un experimento utilizando orina concentrada y arena cuando se encontró con algo único. Después de reducir la mezcla, le quedó una sustancia blanca que continuaba a brillar en la oscuridad cuando se había enfriado. Primero pensó que había descubierto la piedra famosa, pero después se dio cuenta que este no era el caso. Lo que Brand había descubierto era el fosforo – uno de los elementos mas importantes a la vida en la Tierra.

La importancia del fosforo a los seres vivientes

Como el carbono, el oxigeno, el hidrogeno y el nitrógeno, el fosforo es un nutriente limitante para todas las formas de vida, lo cual significa que la posibilidad del crecimiento de un organismo se limita por la disponibilidad de este nutriente vital. Forma parte de la estructura de ADN y ARN, se necesita para el transporte de energía en células, provee estructura a la membrana celular y asiste en dar a huesos y dientes su rigidez. En resumen, sin el fosforo, simplemente no pudiésemos existir. Y sin embargo, para algo que es tan crucial, es uno de los elementos mas difíciles que los seres vivientes accedan en la naturaleza.

Antes de la primera década del siglo XVIII, muy poco se sabia del fosforo o como es que se mueve por el ambiente. Los primeros químicos como Robert Boyle sabia que el elemento era altamente inflamable y fosforescía (o brilla) cuando se expone al oxigeno. De hecho en el año 1680, Boyle se aprovechó de esta inflamabilidad y desarrollo el primer fósforo o cerilla utilizando fósforo para prender palitos de madera sumergidos en azufre. Pero, como otros elementos, la contribución del fósforo al crecimiento y salud de organismos permanecía siendo un misterio.

Por mas de un siglo, científicos creían que la hipótesis de Sir Francis Bacon que el agua era el “principio de la vegetación” – el nutriente esencial para el crecimiento de plantas (Tindall & Krunkel, 1998). Esta idea se apoyaba por los experimentos llevados a cabo por científicos notados como Jan Baptiste van Helmont, John Evelyn y Robert Boyle. Por ejemplo, en 1629, el alquimista flamenco van Helmont puso la teoría de Bacon a la prueba con su famoso experimento del árbol de sauce. Van Helmont experimentó involucraba el crecimiento del árbol de sauce en lo que el pensaba era un ambiente controlado. En sus propias palabras,

Tome un vaso de barro, en el cual puse 200 libras de Tierra que se habían estado secando en un horno, las cuales humedecí con agua de lluvia e implante el tallo del sauce, pesando cinco libras y después de cinco años pesaba 169 libras y tres onzas. Pero humedecí el vaso de barro con agua de lluvia o agua destilada (cuando había necesidad) y era grande e implantada en la tierra y el polvo que se regó por todas partes debe ser mesclado con la Tierra, cubrí el vaso con con una placa de hierro cubierta de estaño y es fácilmente pasable con muchos agujeros. No calculé el peso de las hojas que cayeron durante los cuatro otoños. De nuevo seque la tierra del vaso, y se encontró las mismas doscientas libras. Por ende 164 libras de madera, tallo y raíces salieron solamente de agua. (van Helmont, 1662)

Ahora sabemos que existen defectos en el experimento de van Helmont, incluyendo su uso de tierra en una aplicación que tenia que mostrar que solamente el agua era lo que nutre a las plantas. Sin embargo, sus contribuciones a nuestro conocimiento del papel de los elementos en la nutrición de plantas eran significativas. El experimento del árbol de sauce marcó el comienzo de la fisiología de plantas experimentales, y es uno de los primeros experimentos cuantitativos en la biología y así mismo uno de los primeros relatos escritos del uso del método científico (Hershey, 2003; Morton, 1981).

Sin embargo, durante el siglo XVII, el químico alemán llamado Johann Glauber decía que la tierra, y no el agua era la única fuente de nutrientes para plantas. Esto trajo un debate que continuaba en varias formas del siglo XVIII. En el año 1775, Frances Home concluyó que ambos argumentos estaban correctos. Home Teorizó que no uno pero muchos factores influyen el crecimiento de una planta – una conclusión que abriría nuevas investigaciones en varios campos.

Limitaciones para crecimiento

En el año 1838, una competencia fue llevada a cabo por la Academia de Ciencias en Gottingen, Alemania (Tindall & Krunkel, 1998). La Academia preguntó a miembros de la comunidad científica que determinaran si los elementos inorgánicos encontrados en las cenizas de plantas están presentes en la planta viviente y si había evidencia de que estos elementos inorgánicos eran necesarios para el crecimiento y sobrevivencia de plantas. Justus von Liebig, un químico alemán, ganó un concurso con su tratado Química Orgánica y sus Aplicaciones de Agricultura y Fisiología (von Liebig, 1838).

Von Liebig explicó que ciertos elementos, como Carbono (C), Hidrogeno (H), y Fósforo (P) son vitales para el crecimiento y sustentabilidad de plantas. Su trabajo mostro conexiones claras entre el rendimiento de cultivos y la cantidad de fertilizante ofrecido durante la temporada de cosecha e identificó la jerarquía de minerales en estas interacciones. Uno de los momentos mas importantes en el trabajo de von Liebig es una discusión de la “Ley del Mínimo.”

La Ley del mínimo declara que el crecimiento y rendimiento de una planta se limitan por el nutriente en menos abundancia, sin importar cual nutriente seria. A esta ley comúnmente se le refiere como la Ley Minima de Liebig, a pesar de que ahora se entiende que el descubrimiento era de Karl Sprengel, un agrónomo Alemán trabajando en ese mismo tiempo. Debido a que los macronutrientes como el carbono, oxigeno, hidrogeno y el nitrógeno están disponibles en la atmosfera de la tierra, comúnmente el nutriente limitante en el crecimiento de plantas en ecosistemas naturales es el fosforo.

Punto de Comprensión
De acuerdo a la Ley del Mínimo
Incorrect.
Correct!

Entendiendo disponibilidad de fosfato

Como muchos los ciclos de la Tierra, el ciclo fosfórico involucra movimiento a través de sistemas biológicos y geológicos, y este movimiento es impulsado por varias transformaciones químicas. No como el carbono o nitrógeno, sin embargo, el fósforo solo se mueve por la litosfera, biosfera y la hidrósfera. Es uno de los pocos ciclos biogeoquímicos que no involucran una etapa gaseosa, lo que significa que no se hace parte de la atmósfera de la Tierra en cualquier manera significativa.

Figura 2: Fosfatos son una molécula biológica que tiene un papel importante en la estructura y función de seres vivientes. Estos contienen por lo menos un átomo de fósforo ligado a cuatro átomos de oxigeno, pero se enlaza con otros átomos (como el hidrógeno) para crear una amplia variedad de compuestos necesarios para la vida.

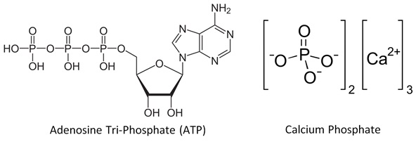
Figura 3: Trifosfato de adenosina (ATP) es responsable de transportar la energía química dentro de células para el metabolismo y el fosfato de calcio es el componente principal de leche, huesos y dientes.

En este ambiente, fosfatos pueden ser encontrados en tanto formas orgánicas como inorgánicas. Fosfatos orgánicos son primordialmente creados por medio de procesos biológicos e incluyen carbón enlazado, como en tejidos de planta y tejidos de animales. Por otra parte fosfatos inorgánicos no son asociados con el carbono. Son producidos por medio de procesos naturales como la meteorización química de rocas que contienen fósforo. Mientras que animales tienen la habilidad de utilizar cualquiera de estas dos formas, las plantas solo pueden utilizar la forma inorgánica.

Punto de Comprensión
El fósforo es mas comúnmente encontrado
Correct!
Incorrect.

El movimiento de fosforo por diferentes esferas

El ciclo fosfórico es similar a otros ciclos elementales y es a menudo descrito en una manera sobre-simplificada: Mientras se mueven las placas tectónicas, la actividad volcánica, terremotos y movimiento en las fronteras de las placas exponen a la superficie del planeta sedimentos y piedras enterradas (para aprender mas, lea nuestro módulo Placas Tectónicas II: Placas, placas límites, y el origen de los movimientos and El Ciclo de las Rocas: Uniformitarianismo y Reciclamiento). Cuando se exponen a elementos como el agua o el viento, la erosión mecánica y química de estas rocas se lleva a cabo. Estas transformaciones liberan fosfatos que han sido enlazados en estas reservas al ambiente, en donde se hacen disponibles en tierra y agua. Después de pasar por medio de sistemas biológicos, via la cadena alimenticia, el fosforo es eventualmente regresado a la tierra y a sistemas acuáticos donde ultimadamente se hace sedimento y puede irse de regreso a la parte geológica del ciclo (Figura 4).

Figura 4: Un dibujo simplificado del ciclo fosfórico. El fosforo se mueve en múltiples direcciones por medio de una serie de procesos mas pequeños.

Como todos los ciclos de la Tierra, no existe un principio ni un fin del ciclo fosfórico y ciertamente ninguna dirección de movimiento. Los ciclos de la Tierra son redes complejas en donde recursos se mueven en múltiples direcciones. De hecho, pueda que sea mas fácil pensar de que el ciclo fosfórico es un proceso que consiste de una serie de procesos mas pequeños que pueda que si o no interactúen – procesos que llevan a cabo en un tiempo tan corto como semanas o tan largo como milenios. Para obtener un mejor sentido del movimiento de fosforo por la litosfera, biosfera e hidrosfera, ayuda si lo vemos en términos de su movimiento en una escala mas pequeña y por medio de un ecosistema especifico.

El Área de Lagos Experimentales: Una vista al ciclo fosfórico en un ecosistema

Durante los meses de Septiembre y Octubre, los científicos T.R. Cleugh y B.W. Hauser comenzaron una encuesta helicóptero en 463 lagos en el Escudo Canadiense en el noroeste de Ontario, Canadá (Figura 5). Los lagos fueron numerados en la orden que fueron muestreados y los datos de profundidad máxima, visibilidad, solidos disueltos y conductividad fueron apuntados para crear perfiles de lagos. (Cleugh & Hauser, 1971). Este era el primero paso en lo que seria uno de los ejemplos mas conocidos en la ciencia extrema: la creación del Area de Lagos Experimentales (ELA por sus siglas en ingles Experimental Lakes Area), un proyecto organizado por el Instituto Freshwater para manipular ecosistema de lago entero.

Figura 5: Mapa de Escudo Precámbrico

El Proyecto de Lagos Experimentales comenzó en sus principios en el año 1965, cuando la Comisión Internacional Unida(IJC), una comisión que ayuda a Canadá y EEUU prevenir disputas sobre fronteras de agua, les solicitó a los gobiernos de EEUU y Canadá invertir recursos al entendimiento de contaminación en los Grandes Lagos bajos/Plano de St. Lawrence. Esta región única – que cubre la parte sureña de Ontario hasta las áreas del centro del estado de Nueva York, Vermont, Pensilvania y Ohio – habían sido transformadas durante los primeros años del siglo XX de bosques a áreas devotadas a agricultura. Desarrollos de casas a través de la región también han incrementado significativamente con el tiempo. Los cuerpos de agua de interés al IJC habían comenzado a mostrar efectos de eutrofización – una condición crecimiento excesivo de plantas y algas que puede matar a peces y otra vida silvestre en el agua – y muy poca información ha existido en las causas o controles.

Como resultado, el Área de Experimento de Lagos fue creada para estudiar estas preguntas. Ha consistido de tierras vírgenes aisladas conteniendo 58 lagos y cuencas, libre de influencia cultural o industrial, en donde investigadores podía activamente manipular ecosistemas enteros. Los primeros experimentos involucraron investigadores directamente controlando influjos de nutrientes para aislar los factores que tal vez podían influenciar eutrofización en el agua. Uno de estos experimentos – el del lago 227 – fue llevado a cabo en el transcurso de 44 años. Ese y un experimento mas corto en el Lago 226 fue el primero de su tipo en claramente identificar el fósforo como el factor forjador en la eutrofización

Punto de Comprensión
El crecimiento excesivos de algas
Correct!
Incorrect.

Lagos 227 y 226: pruebas de nutrientes limitantes

Lake 227 es pequeño en comparación a otros lagos y ofreció al limnólogo David W. Schindler y a su equipo de investigación un sujeto ideal en el cual probar ideas acerca de la eutrofización. En Junio 1969, Schindler y su equipo comenzó a intencionalmente fertilizar el Lago 227 semanalmente, utilizando un fertilizante con una proporción de 12 a 1 por el peso de nitrógeno y fósforo (Schindler, 2008). Al mismo tiempo, estaban interesados en probar una hipótesis popular en Norte América que el suministro de carbono podría limitar el crecimiento de fitoplancton en lagos. Escogieron el Lago 227 específicamente porque tenia una concentración baja de carbono inorgánico disuelto (Schindler, 2009). Durante los primeros cinco años del experimento, los investigadores agregaron fósforo y nitrógeno al lago para asegurar que el fitoplancton tenia cantidades adecuadas para crecimiento y sustentabilidad, pero acceso limitado al carbono.

Figura 6: Los datos de la investigación de Schindler muestra una conexión clara entre la cantidad de fósforos agregados a los lagos y el crecimiento de algas.

image ©David W. Schindler

Después de cargar el Lago 227 con nutrientes por primera vez, Schindler y su equipo notó que el crecimiento de algas incremento significativamente (o floreció) a pesar de la baja concentración de carbono. Adicionalmente, vieron que las flores tenían correlación directa con la cantidad de fósforo que le agregaron al agua (Figura 6). Mientras que Schindler comenzaba a sospechar que el fósforo era responsable, necesitaba evidencia adicional. Lo mas importante, la industria de jabón y detergente, cuyos productos contienen fósforo trabajó para quitar el enfoque de productos conteniendo fosforo argumentando que el nitrógeno era influencial en sistemas acuáticos como el fosforo. Entonces el equipo comenzó los efectos del nitrógeno por separado agregando nitrógeno y carbono al Lago 226.

Figura 7: Una fotografía aérea del Lago 225 tomada en Agosto del año 1973. La cortina plástica dividiendo el lago en las partes angostas permitió que el equipo de Schindler cargara cada mitad del lago con diferentes cantidades de fosfatos. La cuenca del norte, mostrado en la parte de debajo de la foto, se hizo eutrófica debido al exceso de fosforo.

image ©David W. Schindler

El lago 226, con forma de reloj de arena, tenia dos cuencas que podían ser aisladas una de otra en los lados angostos con una cortina pesada de nylon (Figura 7). El grupo de Schindler agregó nitrógeno y carbono a ambas cuencas, pero en la cuenca de norte también agregaron fósforo. De nuevo, floraciones de algas estaban en relación directa con la cantidad de fosforo agregado – la cuenca del sur se mantuvo inmaculada, mientras que la cuenca del norte floreció dentro de semanas (Schindler, 1977).

La investigación de Schindler comenzó a mostrar claramente que el fosforo y no el carbono o nitrógeno, era el nutriente que tiene el efecto mas grande en el crecimiento de plantas en ecosistemas acuáticos. Como notó Schindler en su recuento personal de la historia del ELA, la fotografía aérea muestra dos cuencas mostradas en Figura 7.

...impactó mas a los creadores de políticas que las horas de testimonios basados en datos científicos, ayudando a convencerlos que controlar el fósforo era la clave para controlar el problema de eutrofización en lagos. (Schindler, 2009)

La razón del impacto del fósforo es simple. Junto con el carbono, el nitrógeno, el oxigeno, y el potasio, el fosforo es un macronutriente que determina si el organismo crecerá y sobrevivirá, o si se marchitara y morirá. Sin ello, los seres vivientes no pueden crecer, no pueden reproducir, no pueden mover o no pueden hacer mucho de cualquier cosa. Pero debido a que otros macronutrientes están disponibles algo frecuentemente, el nutriente limitante para el crecimiento de una planta es un ecosistema natural es el fósforo. Esto se debe en parte a que la reserva mas grande de fósforo esta encerrado en roca sedimentaria y no esta disponible, y también en parte a que su química en el ambiente limita su disponibilidad.

Punto de Comprensión
En el Proyecto de Lagos Experimentales, cual elemento fue encontrado que causaba crecimiento excesivo de algas?
Incorrect.
Correct!

Impactos de humanos en el fósforos ciclo

Desde que los humanos comenzaron a caminar la Tierra, hemos interactuado con - e influenciado a – muchos procesos naturales y el ciclo fosfórico no tiene excepción. Debido a que los fosfatos son limitados en tierra naturalmente, las prácticas agrícolas modernas frecuentemente involucran la aplicación de fertilizantes llenos de fosfatos inorgánicos. Cuando el fosforo se le agrega a un ecosistema por medio de maneras no naturales o excesivas como desde alcantarillas, detergentes o un incremento repentino de disponibilidad de nutrientes puede tener un efecto dramático en el crecimiento de plantas.

La tierra tiene un punto de saturación con respecto a la cantidad de fosfato que puede mantener y las plantas tienen un limite con respecto a la velocidad con la que pueden absorberlo, entonces la aplicación de mucho fosfato resulta tanto en la extracción de fósforo del agua como la adición de fosforo en lagos y océanos. Debido a que los ecosistemas acuáticos tienen bien bajas concentraciones de fosfato naturalmente, cuando el fosfato entra en la columna de agua, el fitoplancton como el alga rápidamente lo consumen.

Mientras que Schindler y su equipo mostraron dentro del ELA, el influjo de fosfato siguió aumentando continuamente por un periodo de tiempo, las algas y otros fitoplancton son capaces de reproducirse tan rápidamente y eficientemente que literalmente forman una alfombra en la superficie del agua, bloqueando el agua para otras plantas y organismos viviendo abajo (Figura 8). Esto reduce la habilidad de plantas que habitan en el fondo para fotosintetizar, reduciendo la cantidad de oxigeno siendo liberada en el agua.

Figura 8: Lago Myvatn – un lago con poca profundidad en el norte de Islandia.

image ©Israel Hervas Bengochea/Shutterstock

Al morirse las algas, caen al fondo en donde son descompuestos por bacteria – un proceso que utiliza una gran cantidad de oxígeno disuelto. Mientras se acaba este oxígeno disuelto, peces y otros organismos viviendo en el agua poco a poco se sofocan y mueren (para mas información en el proceso de eutrofización, vea nuestra sección de Recursos).

A pesar de que hemos aprendido mejor y hecho muchos esfuerzos para cambiar, los efectos de estas practicas aun quedan. La sobre-aplicación de fertilizantes con altas concentraciones de fosfato aun es un problema, y los cuerpos de agua en lugares con comunidades altas de comunidades agrícolas sufren mas. Afortunadamente, mientras aprendemos mas acerca de los impactos que nuestras acciones tienen en el ambiente, podemos conscientemente tomar mejores decisiones que pueden beneficiar o dañar nuestros alrededores.

El cuerpo de investigación en fosforo conducido en el Área de Lagos Experimentales fue una contribución seminal en la ciencia ambiental. Mientras que el ciclo de fósforo puede ser simplificado, así como hicimos anteriormente, a un ciclo que incluye un componente geológico y biológico, el ciclo es mucho mas detallado que esto.


Heather MacNeill Falconer, M.A./M.S. “El Ciclo del Fósforo” Visionlearning Vol. EAS-3 (1), 2014.

Referencias

  • Cleugh, T. R., & Hauser, B. W. (1971). Results of the initial survey of the Experimental Lakes Area, northwestern Ontario. J. Fish. Res. Board Can., 28, 129-137.
  • Hershey, D. (2003). Misconceptions about Helmont’s Willow Experiment. Plant Science Bulletin, Fall (49.3).
  • Morton, A. G. (1981). History of Botanical Science, Academic Press, London, ISBN 0-12-508480-3, 474.
  • Schindler, D. W., Hecky, R. E., Findlay, D. L., Stainton, M. P., Parker B. R., Paterson, M. J.,...& Kasian, S. E. (2008). Eutrophication of lakes cannot be controlled by reducing nitrogen input: Results of a 37-year whole-ecosystem experiment. PNAS, 105(32), 11254–11258.
  • Schindler, D. W. (1977). Evolution of phosphorus limitation in lakes: Natural mechanisms compensate for deficiencies of nitrogen and carbon in eutrophied lakes. Science, 195, 260–262.
  • Schindler, D. W. (2009). A personal history of the Experimental Lakes Project. Can. J. Fish. Aquatic Sci. (66), 1837-1847.
  • Tindall, J. A., & Krunkel, J. R. (1998). Unsaturated Zone Hydrology for Scientists and Engineers. New York: Pearson.
  • van Helmont, J. B. (1662). Oriatrike or Physick Refined. London: Lodowick Loyd. (translated by John Chandler).
  • von Liebig, Justus. (1840). Organic Chemistry and its Applications to Agriculture and Physiology. London: Taylor and Watson.