Atomic Theory and Structure

The Periodic Table of Elements IV: Chemical families

Listen to this reading

00:00

Did you know that a meteor blasted into Peru in 2007, exposing poisoned groundwater that killed cattle and sickened people? The poison was arsenic, which is dangerous because it mimics phosphorous, an element necessary for life, and interferes with body chemistry. Arsenic is a member of the chemical family called metalloids, and most metalloids can mimic elements that living organisms need. Besides metalloids, elements on the periodic table are divided into nine other chemical families, each with characteristic properties.

On September 15, 2007, a meteor blasted into Peru. Locals from the nearby village of Carancus explored the site and discovered boiling water and fetid gases gurgling from the crater bottom. Over the next few days, a mysterious illness spread, killing cattle and sickening over 200 people. But what caused the diarrhea, vomiting, headaches, and skin injuries?

Peruvian scientists visited the crash site and identified the culprit – arsenic poisoning. Luisa Macedo, a scientist for Peru’s Geological Mining and Metallurgical Institute, explained that the impact exposed sulfur- and arsenic-tainted groundwater. And the intense heat caused that arsenic (As) to form a noxious gas.

Upon investigating further, arsenic was found in groundwater all across the region. A 2014 report by the World Health Organization analyzed 151 water sources in Peru and found that 86 percent contained unsafe arsenic levels (George et al., 2014). As it turns out, it’s a widespread problem in Latin America. Across Latin America, an estimated 14 million people are exposed to unsafe arsenic levels in their drinking water (Bundschuh et al., 2012).

Arsenic poisoning appears throughout human history, going back 2,000 years. Legends of ancient Rome describe widespread use of poisons – especially arsenic – as a political tool. So why is the stuff so toxic?

Arsenic (As) interferes with crucial body chemistry due to its similarity to phosphorus (P) – one of the seven “elements of life.” Our cells can mistake the two elements and use arsenic in making molecules. DNA is one such molecule as is adenosine triphosphate (ATP), the “energy currency of the cell.” And that’s where the trouble starts. Despite similarities, the differences between phosphorus and arsenic mean that such molecules will not work properly. (You can learn more about ATP in our Energy Metabolism I module.)

We’ll explore arsenic’s toxicity later in this module, but arsenic’s not alone in its ability to mimic the elements that make up biological molecules. Arsenic belongs to the chemical family called the metalloids. Most members of the metalloid family exhibit similar mimicry of elements important to living organisms.

Chemical families are groups of elements nearby on the periodic table that share similar properties, and thus enter into similar reactions. There are ten chemical families: the alkali metals, alkali earth metals, transition metals, post-transition metals, metalloids, reactive nonmetals, halogens, noble gases, lanthanides, and actinides. In this module, we’ll discuss common traits of each family. To better understand each family, we’ll draw connections between chemical properties and the configuration of electrons around an atom’s nucleus, that is, the atom’s electron configuration.

What does “metal” mean to a chemist?

Metalloids straddle the border between two major classes of elements: metals and nonmetals. Metals and nonmetals are not chemical families. They are bigger categories, in which all elements fall somewhere on a spectrum from “most metallic” to “most non-metallic.” Chemical families nest within this spectrum. Understanding where a chemical family lies on the metal-nonmetal continuum helps us to understand their different chemical properties.

Perhaps the word "metal" calls to mind a sleek knife blade or the thread-like copper wires within our computers. Or maybe you imagine the vast networked steel of the Golden Gate Bridge – made possible because steel is strong enough to support great weight but malleable enough to flex with the wind.

When a chemist looks at a metal, they see those physical characteristics, but that’s not all. A chemist sees “metals” in light of their chemical definition, which describes how metallic elements react.

During a chemical reaction, atoms share, steal, or donate electrons with one another (as explained in more detail in our Chemical Bonding module).

Metals are those elements that tend to lose their electrons to other atoms during a chemical reaction. By losing electrons, metals become positively charged.

By contrast, nonmetals are elements that tend to pull electrons from other atoms. Such atoms would become negatively charged in the process.

Take a look at the periodic table in Figure 1. Metals lie on the left. They make up most of the periodic table. Nonmetals lie on the right. Metalloids – arsenic (As) included – lie along the transition.

Figure 1: Metals (blue), metalloids (green), and nonmetals (red) are shown grouped on the periodic table.

image ©Visionlearning
Comprehension Checkpoint
Which of the following describes an element that tends to lose electrons to other atoms in chemical reactions?
Correct!
Incorrect.

The chemical families

Of the ten chemical families, six are considered metals: the alkali metals, alkali earth metals, transition metals, post-transition metals, lanthanides, and actinides.

See all the chemical families on the periodic table in Figure 2.

Figure 2: This periodic table uses color-codes to show chemical families.

image ©Visionlearning

After the metalloid family, that leaves three “nonmetal” chemical families. Those are halogens and reactive nonmetals – both decidedly nonmetal in chemical behavior – and the noble gases.

We’ll discuss these ten families throughout the rest of this module, starting with the most metallic.

The alkali metals

Each member of this lustrous group of metals is soft enough to cut with a butter knife. The alkali metals occupy column 1 of the periodic table and include lithium (Li), sodium (Na), potassium (K), rubidium (Rb), cesium (Cs), and francium (Fr) (Figure 3).

Figure 3: The alkali metals occupy the first column on the left. The one exception is hydrogen, which is not an alkali metal and is the only element located outside its chemical family on the periodic table.

image ©Visionlearning

Hydrogen, though it appears in column 1, is not an alkali metal. Hydrogen – the only element that is grouped outside its chemical family – is classified in a group called reactive nonmetals.

The alkali metals lose electrons easily, and that makes them highly reactive. Dropping some in simple water can even lead to an explosion. That’s because these elements react with water to create hydrogen gas (H2), which is flammable – and the reaction can release enough heat to ignite that gas. The most reactive naturally occurring metal of the periodic table, cesium (Cs), nests among the alkali metal family.

Electron configuration explains this chemical family’s high reactivity. All alkali metals have a single valence electron, which are outermost electrons – the only electrons involved in chemical reactions.

While the alkali metals differ from one another in their overall electron configuration, they have a similar valence electron configuration, which means they have similar reactivity. Consider lithium, sodium, and cesium as examples:

\(Li\) \({1s^2}\textcolor{red}{2s^1}\)
\(Na\) \({1s^2}{2s^2}{2p^6}\textcolor{red}{3s^1}\)
\(Cs\) \({1s^2}{2s^2}{2p^6}{3s^2}{3p^6}{3d^{10}}{4s^2}{4p^6}{4d^{10}}{5s^2}{5p^6}{\textcolor{red}{6s^1}}\)

The configurations shown above tell us that even though they have different numbers of electrons, all three have one valence electron (indicated in red). And for each, that valence electron occupies an s-type subshell. Refer to our Periodic Table III module for details regarding subshells. But in summary, subshells help describe an atom’s electron configuration. Subshells consist of electron orbitals – regions around a nucleus where you’re most likely to find electrons. Besides s-orbitals, there’s also p, d, and more. Electron orbitals come in different shapes. For instance, s-orbitals are spherical in shape. In this module, subshells consisting of s-orbitals are called s-type subshells.

When alkali metals lose this one valence electron, they adopt a positive charge of +1. An electrically charged atom is called an ion. See the formation of a lithium ion represented below.

$$\text {Li }{Li^+} + {1e^-}$$
$$\text {Li }{1s^2}{2s^1}$$

When lithium loses the 2s1 electron, lithium’s electron configuration changes to match the noble gas helium. Like all noble gases, helium has a stable electron configuration, and when lithium reacts to form an ion, that ion also has a stable electron configuration.

\({L^+}\) \({1s^2}\)
\(He\) \({1s^2}\)

We’ll discuss why near the end of this module. But for now, understand that atoms give, take, or share electrons to achieve a noble gas electron configuration.

The halogens

If alkali metals represent the most reactive metals, which are the most reactive nonmetals? That distinction goes to the halogens. In their pure forms, the halogens occur as gases. For example, chlorine gas (Cl2) represents the pure form of chlorine. This dangerous green gas has been used in warfare.

World War I first saw use of chlorine gas in warfare when German specialist troops unleashed canisters of the stuff against Allied troops in 1915. Since the dense, pungent chlorine gas is heavier than air, it settled into trenches, where it killed over 1,100 Allied troops by reacting violently with the tissues in the lungs, nose, and eyes of soldiers. The excruciating nature of these deaths led to a worldwide ban of chlorine gas and other such chemical weapons by the Geneva Protocol of 1925.

Fluorine (F), chlorine (Cl), bromine (Br), iodine (I), astatine (At), and tennessine (Ts) make up the halogens. They reside nearly opposite the alkali metals (Figure 4). And that placement is no accident.

Figure 4: The halogens occupy column 17, the second-from-right column of the periodic table.

image ©Visionlearning

Halogens share one major trait with the alkali metals: violent reactivity. But that’s where the similarities end. Instead of losing electrons like the metals, nonmetals react by taking electrons. Halogens can take electrons from almost every other element on the periodic table. That’s what makes them so reactive.

Electron configuration explains halogen’s electron-taking capabilities. All halogens lack only one electron from a complete valence set. (The p-type subshells max out at six electrons.)

Let’s compare fluorine (F), chlorine (Cl), and bromine (Br).

\(F\) \({1s^2}{1s^2}\textcolor{red}{{2p^5}}\)
\(Cl\) \({1s^2}{2s^2}{2p^6}{3s^2}\textcolor{red}{{3p^5}}\)
\(Br\) \({1s^2}{2s^2}{2p^6}{3s^2}{3p^6}{4s^2}{3d^{10}}\textcolor{red}{{4p^5}}\)

Since halogens are the most reactive nonmetal elements and alkali metals are the most reactive metal elements, violent chemical reactions occur when these groups meet. For example, the reaction between fluorine gas and sodium metal means a rapid passage of electrons from sodium to fluorine, ionizing both and resulting in an eruption of yellow fire. After that reaction, however, the resulting salt is harmless. Called sodium fluoride, this salt grants many toothpastes their enamel-hardening power.

When halogens gain that desired extra electron, they develop a negative charge. Take fluorine (F) as an example. When fluorine ionizes, it becomes F-, or fluoride, a major constituent of toothpaste.

$$\text{F } + {1e^-}\rightarrow {F^-}$$

Fluoride’s electron configuration matches that of the noble gas neon (Ne):

\(\text{F}^-\) \(1s^2 \, 2s^2 \, 2p^6\)
\(Ne\) \(1s^2 \, 2s^2 \, 2p^6\)

Chlorine’s negative ion, chloride (Cl-), plays major roles in water purification, both for drinking water and for swimming pools. And chloride has a similar electron configuration to the noble gas argon.

Now that we’ve established the halogens and alkali metals as the extreme ends of the metal-to-nonmetal spectrum, let’s look at all those elements that lie somewhere in between.

The alkaline earth metals

These silvery-white metals include beryllium (Be), magnesium (Mg), calcium (Ca), strontium (Sr), barium (Ba), and radium (Ra). The alkaline earth metals (not to be confused with the alkali metals) reside in column 2 of the periodic table (Figure 5) and like other metals, tend to lose electrons.

Figure 5: The alkaline earth metals occupy column 2 on the periodic table.

image ©Visionlearning

The alkaline earth metals share the same valence electron configurations. Let’s compare the valence shells for beryllium, calcium, and radium.

\(Be\) \(1s^2 \, \textcolor{red}{2s^2}\)
\(Ca\) \(1s^2 \, 2s^2 \, 2p^6 \, 3s^2 \, 3p^6 \, \textcolor{red}{4s^2}\)
\(Ra\) \(1s^2 \, 2s^2 \, 2p^6 \, 3s^2 \, 3p^6 \, 4s^2 \, 3d^{10} \, 4p^6 \, 5s^2 \, 4d^{10} \, 5p^6 \, 4f^{14} \, 5d^{10} \, 6s^2 \, 6p^6 \, \textcolor{red}{7s^2}\)

Like their alkali metal cousins, the alkaline earth metals react too readily to occur in their pure forms naturally. You’ll never dig up a sample of pure calcium metal, for example. Instead, calcium appears in compounds, such as calcium carbonate, CaCO3. You experience this chalky compound when you crack an eggshell. Limestone, a common sedimentary rock, consists mostly of calcium carbonate. Many people associate calcium with our skeletal system. For good reason too: Calcium makes up 40 percent of the weight of hard bone.

As a result of similar electron configurations, all of the alkaline earth metals form ions with a +2 charge. Calcium, for instance, ionizes to Ca2+.

$$\text{Ca} \rightarrow Ca^{+2} + 2e^-$$

Similar valence electron configuration explains their similar properties. In fact, the body can mistake radium for calcium when building new bone tissue.

Despite similarities between calcium and radium, there’s a big difference. Unlike calcium, radium is radioactive.

Radium emits an ethereal green glow that enchanted a generation. In the 1920s, companies touted the beautiful element as an almost magical health elixir. Radium tonics and glow-in-the-dark paints filled the market. The watch-making industry made use of this luminescence by painting the dials of wristwatches and clocks (Figure 6). Young watch painters, primarily young women, dipped tiny radium-poisoned brushes in their mouths to achieve a perfect pointed brush tip. Only later would they learn that radium – so similar to calcium – gets taken up into bones. And once trapped inside the body, radium emits radiation that destroys bone and tissue.

Figure 6: To paint the tiny hands of a wristwatch, dial painters in this factory would create a perfect, fine tip for this delicate work by touching the poisoned paint to their lips.

image ©Public Domain

These “Radium Girls” became sick, and many eventually died from exposure to the metal. But symptoms of the radium damage took months or years to first appear. Dental issues typically arose first. The girls visited their dentists with crumbling teeth and infected gums. But it didn’t end there. After symptoms appeared, the disease progressed relentlessly.

Medical treatments couldn’t strip out the radium. After all, the element had baked into their very bones. All doctors could do was cut away damaged parts and treat the pain and secondary infections.

By the end of the 1920s, at least 50 women had died and many would be left mutilated. The story of the “Radium Girls” would spearhead major changes in industrial safety standards.

Transition metals and post-transition metals

A large family of lustrous metals called the transition metals includes the elements most consider the more familiar “metals.” These metals occupy the periodic table’s middle (Figure 7) and include iron (Fe), chromium (Cr), copper (Cu), and many more.

Figure 7: The transition metals occupy the center of a periodic table and are the biggest chemical family.

image ©Visionlearning

The reason for this familiarity is simple. These metals exist in nature in their pure, or nearly pure, forms. Generally, that is because they are less reactive, and therefore more stable, than alkali metals and alkaline earth metals. For example, a sword of pure sodium (Na) would never work: too reactive, too soft. But iron (Fe) works great. Iron still has the malleability that we associate with metals, but it’s also still strong enough to function as a tool (Figure 8).

Figure 8: Iron’s strength, malleability, and lower reactivity make it ideal for toolmaking. In this image, a blacksmith heats the metal so that it becomes malleable enough to hammer into shape.

Looking at the periodic table, you see that the transition metals are the largest chemical family. And big families come with some strange characters, such as the otherworldly liquid that is mercury (Hg), the electrical workhorse that is Copper (Cu), or the ever-fought-over lustrous metal that is gold (Au).

Unlike the previous three families (halogens, alkali metals, and alkali earth metals), transition metals vary in their valence electron configuration. There are two reasons for this.

The first reason is simple: They do not occupy one column. Instead, they include elements from column 2 to column 12. Therefore, we expect the valence electron configurations of chromium (Cr), which occupies column 6, to differ from copper (Cu), which occupies column 11.

But even elements in the same column can differ in valence electron configuration. That brings us to the second reason for variability in the transition metals – the d-type subshell.

This group’s valence electrons occupy d-type subshells. The details regarding d-type subshells are beyond the scope of this module. But to summarize, d-type subshells exhibit more variance than s-type and p-type. Electrons fill the space around a nucleus by increasing energy. Lower energy regions fill first. But as atoms become more complex, the energy differences decrease. And that allows for more variability in electron configuration. Let’s consider the abbreviated electron configuration for copper (Cu). Copper's electron configuration would be expected to be as follows.

$$\text{[Ar]} \, 4s^2 \, 3d^9$$

But instead, copper’s configuration is the following:

$$\text{[Ar]} \, 4s^1 \, 3d^{10}$$

That unexpected configuration can be explained by the 4s and 3d orbitals, which are very close to one another energy-wise.

That variation in electron configuration explains why the transition metals exhibit less consistency in forming ions than most families, and some transition metals actually form multiple ions. Copper can exist as Cu+ and Cu2+, iron can exist as Fe+2 and Fe+3, and even gold can form Au+ and Au3+ ions.

Sometimes a subsection of the transition metals gets grouped into another chemical family called post-transition metals. The post-transition metals lie nearest the metalloids.

Remember that most chemical properties change gradually – not suddenly – from one side of the periodic table to the other. Chemists sometimes struggle with an age-old question of where to draw the line. Since they lie near the metal-nonmetal line (Figure 9), post-transition metals are one such example.

Figure 9: Post-transition metals lie to the left of the metalloids.

image ©Visionlearning

Compared to most metals, the post-transition metals are brittle. Sometimes, zinc (Zn), cadmium (Cd), and the oddball element mercury (Hg) get roped into post-transition metals.

Don’t let this inconsistency of grouping confuse you. Here’s the takeaway: Post-transition metals are generally considered transition metals. Generally, they share similar properties. But, because they also have some different properties than core transition metals, the post-transition metals are sometimes – but not always – assigned a separate grouping.

Metalloids

In pure form, the metalloids gleam like metals. But any hammer made from these brittle elements would crumble.

No other chemical family shows the messy transition from metal-to-nonmetal as well as the metalloids. Besides arsenic (As), the metalloid elements include boron (B), silicon (Si), germanium (Ge), antimony (Sb), and tellurium (Te). Metalloids straddle the border between metals and nonmetals on the periodic table (Figure 10).

Figure 10: The metalloids lie along the transition between metals on the left and nonmetals on the right.

image ©Visionlearning

Members of this chemical family share valence electron configurations with many elements that make up biological molecules. Arsenic (As), for example, shares a valence electron configuration with phosphorus (P).

\(As\) \(1s^2 \, 2s^2 \, 2p^6 \, 3s^2 \, 3p^6 \, \textcolor{red}{4s^2} \, 3d^{10} \, \textcolor{red}{4p^3}\)
\(P\) \(1s^2 \, 2s^2 \, 2p^6 \, \textcolor{red}{3s^2 \, 3p^3}\)

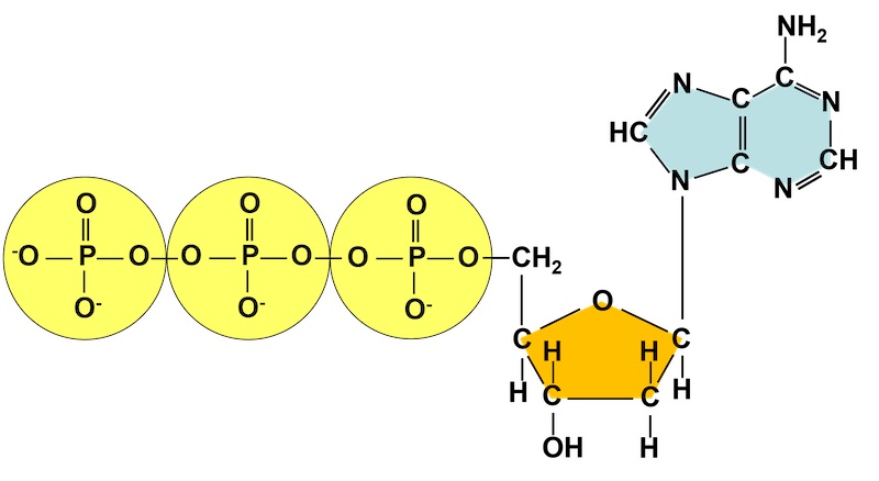
Due to similar valence electron shell configurations, arsenic and phosphorus can react with many of the same molecules. This is, in fact, one of the mechanisms by which arsenic causes toxicity in the body. Arsenic can substitute for phosphorous in one of the body’s important energy-producing molecules: ATP. Rather than producing ATP – adenosine triphosphate – the body can produce ADP-arsenate, or adenosine diphosphate-arsenate. Unlike ATP, the ADP-arsenate breaks down almost immediately (Gresser, 1981). This in turn shuts down the ability of cells to make energy, in essence causing them to starve to death (Figure 11).

Figure 11: Arsenate can replace phosphate in the body’s attempts to produce ATP, resulting in ADP-arsenate. However, this arsenate product will not operate properly, and this results in a breakdown of the chemical process.

image ©Public Domain

Arsenic is not the only life-element mimic. Silicon can mimic carbon, which is why it can be used as a backbone for large complex molecules. Antimony (Sb), tellurium (Te), and germanium (Ge) exhibit similar toxicity.

This partially explains arsenic’s toxicity when the meteor struck Peru. Efforts to address the arsenic public health threat in Peru have floundered because arsenic is a slow and silent killer. Most local people have no idea their water could be contaminated. Dina Lopez, a hydrogeochemist at Ohio University, explained this when she told Aljazeera reporters, “If it doesn’t kill you immediately, it’s difficult to make people believe that it will harm them in the long run” (Bloudoff-Indelicato, 2015).

Data suggests that arsenic-tainted groundwater has slow-poisoned many Peruvians for generations. That means this problem didn’t start with a meteor impact. Most likely, the sudden arsenic spike just gave locals the nudge they needed to come forward with health problems that had plagued them for years.

Technology for addressing the arsenic problem exists. Water filters can remove arsenic, for example. However, these solutions can be expensive, and local communities must buy into that solution if it is to work.

But the metalloids aren’t all bad. They have some very unique properties that make them very valuable to modern electronics. While metals conduct electricity and non-metals do not, metalloids are semi-conductors. This means that metalloids conduct electricity only under certain unique conditions, and this has made them invaluable to the computer industry. Silicon forms the backbone of most modern computer chips because of its properties as a semiconductor.

Reactive nonmetals

The reactive nonmetals include carbon (C), hydrogen (H), nitrogen (N), oxygen (O), phosphorus (P), sulfur (S), and selenium (Se). Most reactive nonmetals cluster in the upper half of columns 14-17. But one – hydrogen – lies outside its family (Figure 12).

Figure 12: Reactive nonmetals cluster in the upper-right of the periodic table, with one exception, hydrogen, which resides on the upper-left.

Valence electron configuration varies among elements of this family. But they do all tend to accept electrons rather than lose them.

Despite having “reactive” in the name, the reactive nonmetals display less reactivity than their halogen-nonmetal cousins. But they're still hungry for electrons. And that balance grants reactive nonmetals exceptional bonding abilities.

Oxygen (O) lacks two electrons from a full valence set. Consider oxygen’s electron configuration below:

$$\text{O } \, {1s^2}{2s^2}{2p^4}$$

Oxygen atoms readily gain electrons. But they can also share electrons with other atoms to achieve a noble gas configuration.

Consider the electron configuration for carbon (C).

$$\text{C } {1s^2} {2s^2}{2p^2}$$

Carbon needs four electrons to complete its valence shell. Despite carbon’s grouping as a nonmetal, acquiring four electrons isn’t an easy task. That’s why carbon tends to form bonds with other atoms by sharing electrons.

The reactive nonmetals form strong, stable bonds. That’s why these elements make large molecules of life possible. Carbon’s unique ability to form up to four bonds enables it to form the backbone of the largest and most complex molecules in existence (Figure 13). Our Periodic Table III module explains how the electron configuration of carbon makes it so special.

Figure 13: The 3-D model shows an example of a carbon-based molecule. Black spheres represent carbon atoms, which form the structural backbone. Red spheres represent oxygen atoms. White spheres represent hydrogen atoms.

image ©Public Domain

Since the reactive nonmetals vary in their electron configurations, different ions form from the members. If oxygen gains two electrons, it forms O2-. If nitrogen gains three electrons, it forms N3-, or nitride.

All of the reactive nonmetals are crucial for life. Of the seven, six make up the “elements of life,” or CHONPS. This acronym stands for carbon, hydrogen, oxygen, nitrogen, phosphorus, and sulfur. Even selenium – though not one of the CHONPS elements – still serves as an important micronutrient.

Comprehension Checkpoint
Why are reactive nonmetals important for living organisms?
Incorrect.
Correct!

Noble gases

Like their name suggests, the noble gases occur naturally on Earth as gases. Naturally occurring noble gases consist of helium (He), neon (Ne), argon (Ar), krypton (Kr), xenon (Xr), and radon (Rn). Oganesson (Og), a lab-made noble gas representative, exists as well. These elements occupy the far-right column of the periodic table (Figure 14).

Figure 14: The noble gases occupy the right-hand column of the periodic table.

image ©Visionlearning

Chemists discovered these elements later than most. Helium (He) was discovered in 1868, but the rest weren’t identified until 1894 or later. That’s over two decades after Dimitri Mendeleev introduced the first periodic table.

Why so late? The noble gases don't react with other elements. That makes these sneaky elements hard to identify.

Noble gases’ electron configuration explains their inert behavior. The valence electron shells of the noble gases are complete, meaning they neither seek to take electrons nor give them to other atoms. That makes them very stable.

In fact, other elements attempt to emulate this stability of electron configuration when forming chemical bonds. Take a look at the electron configuration for neon.

$$\text{Ne} \, {1s^2}{2s^2}{2p^6}$$

Other elements will lose, gain, or share electrons to achieve such a configuration. Take sodium, for instance.

$$\text{Na} \, {1s^2}{2s^2}{2p^6}{3s^1}$$

When sodium loses its valence electron and ionizes, sodium’s electron configuration changes to match neon.

\(Na^+\) \(\textcolor{red}{1s^2 \, 2s^2 \, 2p^6}\)
\(Ne\) \(\textcolor{red}{1s^2 \, 2s^2 \, 2p^6}\)

Other elements gain electrons to achieve noble gas configurations. Take fluorine, for instance. Fluorine also achieves a neon-like electron configuration. Fluorine, however, must gain an electron.

$$\text{F } \, 1s^2 \, 2s^2 \, 2p^5$$

When fluorine gains an electron and ionizes, fluorine’s electron configuration changes to match neon.

\(F-\) \(\textcolor{red}{1s^2 \, 2s^2 \, 2p^6}\)
\(Ne\) \(\textcolor{red}{1s^2 \, 2s^2 \, 2p^6}\)

It was Scottish physical chemist William Ramsey who first discovered these inert elements. Ramsey noticed that the mass measurements of some atmospheric nitrogen samples seemed off. After ruling out error as a possibility, the only reasonable alternative was that a very unreactive gas was in the nitrogen samples. Ramsey isolated the mystery gas and named it argon (Ar), which is Greek for "lazy," because he dubbed it too lazy to react with other elements.

Comprehension Checkpoint
On which side of the periodic table can the noble gas elements be found?
Correct!
Incorrect.

Ramsey went on to isolate the noble gases neon (Ne), krypton (Kr), and xenon (Xe).

Lanthanides and actinides

Two curious families of elements lie below the standard periodic table. These are the lanthanides and actinides (Figure 15).

Figure 15: The lanthanides and actinides usually lie in the space below the rest of the periodic table.

image ©Visionlearning

The lanthanides and actinides seem separated from the rest. But in an expanded periodic table, they actually begin to the immediate right of barium and radium (Figure 16). Most periodic tables place them below for convenience. After all, you won’t deal with them as much as a chemist because these elements occur much less frequently than other elements.

Figure 16: Though the extended periodic table presentation is rarely shown, it accurately displays the placement of the actinides and lanthanides with the rest of the periodic table.

image ©Visionlearning

Naturally occurring actinides include uranium, actinium, and thorium. During the 1940s, chemists started cooking up new elements. Thus was born the element neptunium and later, plutonium. These wickedly radioactive elements are appropriately named for the Roman and Greek gods of the underworld, respectively.

Similar to the transition metals, the lanthanides and actinides exhibit great variability in their properties. This variability stems from the valence electrons occupying f-type and g-type subshells. The details regarding these subshells are beyond the scope of this module.

Conclusion

By grouping similar elements, chemical families help us interpret the coded information in the periodic table. Knowing each family’s common properties helps us predict how a particular element will react.

Each family’s common characteristics derive from similarities in their electron configurations. Sometimes, overlaps in electron configurations of two elements mean that elements might be mistaken for one another by the body. Such is the case with arsenic, which explains the element’s toxicity during the 2007 meteor blast in Peru. Similarities in electron configuration help explain the toxicity of the metalloid family of elements, which can often mimic the elements needed for our very survival.