Profiles in Science

Percy Lavon Julian: Revolutionizing medical treatment through chemical synthesis


Did you know that when cortisone was discovered as a treatment for arthritis, it cost several times the price of gold? Only when scientists figured out how to synthesize cortisone in a laboratory was the cost reduced to pennies per treatment. One scientist credited with making arthritis relief affordable was Percy Lavon Julian, a grandson of former slaves who became a world-class organic chemist in spite of ongoing racial discrimination. His advances in chemistry have been used in treatments for cancer, Alzheimer’s disease, effects of chemical weapons, problem pregnancies, and in organ transplant drugs. Among his most impressive accomplishments, Julian made glaucoma treatment widely available by synthesizing a chemical compound to reduce pressure in the eye.

The 350 million people who suffer from arthritis routinely turn to cortisone for relief, but this powerful anti-inflammatory was not always widely available. When cortisone was discovered in 1948, it had to be extracted from the adrenal glands of oxen; it would have taken about 14,600 oxen to treat one rheumatoid arthritis patient for one year, and the medication cost hundreds of dollars per gram. Miracle drug perhaps, but at several times the price of gold it was hardly a practical solution to a literally crippling problem – until scientists found a way to manufacture cortisone from plant products, bringing the price down to pennies per dose. One of the scientists credited with making pain relief affordable was Percy Lavon Julian (Figure 1), who developed a basis for synthesizing cortisone in vast quantities, earning him a place in the National Inventors Hall of Fame.

Figure 1: Percy Lavon Julian (1899-1975), pioneer in synthesizing medicinal compounds from plants.

image ©DePauw University & United Methodist Church

Julian also revolutionized the treatment of glaucoma by synthesizing a chemical compound to reduce pressure in the eye, a drug now used to treat Alzheimer’s disease as well as combat the effects of chemical weapons. This milestone was deemed among the top 25 achievements in the history of American chemistry (American Chemical Society, 1999). During his lifetime, Percy Julian was awarded over 130 patents and became the second African American inducted into the National Academy of Sciences, but his many accomplishments required an unwavering determination in the face of racial barriers.

From educational barriers to outstanding academic achievement

Education was highly valued in Julian’s family – and came at a high price. His grandfather, a former slave, lost two fingers, cut off by his master upon discovering that he had learned to read and write. Julian’s father put every spare penny toward a library for his children since the public library was open to whites only. At home is where Percy first read about science and set his heart on becoming a chemist, a field discouraged by his father because chemistry labs were the domain of white men and it would be difficult for Percy to find a job (NOVA, 2007). But his interest in chemistry never waned. He recalls being chased off a fence by a policeman where as a youth he had been watching a chemistry class through a window at a whites-only high school (Haber, 1992).

In the Deep South nearly half a century after the official end of the American Civil War, public education in Alabama ended at the 8th grade for the vast majority of African American children, so Julian attended the State Normal School for Negroes, the same two-year private school that both of his parents graduated from. Percy’s father, James, had shown such brilliance as a student that his teacher, Indiana native Joan Stuart, offered him a chance to attend DePauw University in Greencastle, Indiana, one of the few universities that opened its doors to students of color. James Julian was not able to accept the offer because he had a family to support, but he saw education as the path to a better life and dreamed that his children would go to college (DePauw University, 2009).

Just as Percy was finishing his two years at the Normal School in 1916, Saint Elmo Brady became the first African American to earn a PhD in chemistry in the US. This gave Percy the confidence to pursue his dream. Like his father, Percy Julian stood out for his academic excellence, and Stuart, who had not yet retired from teaching, gave the younger Julian the same opportunity to attend DePauw University. Off he went to Greencastle, Indiana, but because he had only two years of schooling after the 8th grade, Percy entered DePauw as a “sub-freshman” and had to take catch-up high school-level classes along with his regular college coursework. He was not allowed to live in a dormitory but got a job waiting tables in a white fraternity house so he could sleep in the attic. He also dug ditches during the day, but he remembers those days fondly since at last he was able to pursue his interest in science. Figure 2 shows Julian in the DePauw University Science Club. Eventually, the entire Julian family moved to Greencastle, and Percy’s two brothers and three sisters all graduated from DePauw.

Figure 2: The DePauw University Science Club, 1918. Julian is at top left. Juilan’s advisor, William Blanchard, is in the bottom row, third from left.

image ©DePauw University & United Methodist Church

Julian graduated at the top of his 1920 class and was a member of both the Phi Beta Kappa and Sigma Xi honor societies. However, the racial climate of the day kept him from his goal of pursuing a PhD. His advisor and staunch supporter William Blanchard (Figure 2) campaigned to get Julian admitted to graduate school but met with rejection after rejection. One letter stated:

I’d advise you to discourage your bright colored lad. We couldn’t get him a job when he’s done, and it’ll only mean frustration. In industry, research demands co-work, and white boys would so sabotage his work that an industrial research leader would go crazy! (quoted in Haber, 1992, p. 126)

His dreams of getting a PhD dashed, Julian taught chemistry at Fisk University, a respected Negro college in Nashville, TN, for two years until he received a fellowship to Harvard University. This was a challenging time, since then-Harvard president Abbott Lawrence Lowell had decreed that no black students were permitted to stay in the dorms. Nevertheless, Julian became the first African American to earn a Master’s degree in chemistry from Harvard, and with straight As. However, he was not awarded a teaching assistantship typically offered students of Julian’s standing because the university feared that not all students would accept an African American instructor. Julian recounted this experience with bitterness for years to come.

He accepted a teaching position at West Virginia College for Negroes, where he was a one-man chemistry department. But dissatisfied with the ill-equipped lab and lack of interest in building the department, he left for Howard University, a prominent historically black university in Washington, DC. He remained at Howard for two years as associate professor until he received a fellowship that would change his life.

Comprehension Checkpoint
Percy Julian was the first African American to earn a PhD in chemistry in the US.
Incorrect.
Correct!

To Europe - and freedom from racial bias

In 1929, Julian was granted a fellowship from the General Education Board that took him to the University of Vienna, Austria, in the heyday of natural products chemistry (Figure 3). Medicinal properties of plants had been known for thousands of years, and in the 1920s the main focus of chemistry was to isolate the active ingredients in plants and determine their chemical structure so they could be created in a laboratory.

Figure 3: University of Vienna, Austria, where Julian attended from 1929 to 1931, receiving his PhD in Organic Chemistry.

image ©Bwag

Julian’s research in Vienna focused on alkaloids, nitrogen-containing organic compounds that come from plants. Alkaloids are interesting to chemists because many have an effect on the human body and are used as medicines, drugs, and even poisons. Some well-known alkaloids include caffeine, nicotine, codeine, cocaine, ephedrine, morphine, mescaline, and quinine (to treat malaria). Julian studied under the renowned organic chemist Ernst Späth (Figure 4), who was famous not only for his research on alkaloids but also for having no tolerance for the lazy or untalented. Julian became a marvel for his thirst for learning, dedication to his work, neatness in the lab, good humor, musical talents, and knack for acquiring languages. The meticulous Dr. Späth claimed that he had never seen a student as extraordinary as Julian (Witkop, 1980).

Figure 4: Copper bust of organic chemist Ernst Späth (1886-1946). Impoverished by World War II, Späth died penniless. Julian paid for his funeral and then commissioned this bust of his mentor, still on display at the University of Vienna.

image ©Heinrich Zita (sculptor) / Anna reg (photographer)

In those pre-Hitler days, Vienna offered an equality and acceptance that Julian had never known. Colleague Josef Pikl noted, “For the first time in his life, he was completely at ease, no open or hidden barriers, really an equal among equals” (qtd. in Witkop, 1980). With freedom to excel, Julian received a PhD in Organic Chemistry in 1931, making him the third African American in history to earn a doctorate in chemistry. For Julian’s thesis, he succeeded in isolating the alkaloid in Corydalis cava – a native Austrian root used in treating heart palpitations – and determining its chemical structure. This work provided the foundation for the rest of his career as a chemist (Witkop, 1980). (For more on the fascinating world of organic chemistry, see our module Carbon Chemistry: An Introduction.)

Comprehension Checkpoint
The goal of natural products chemistry was to isolate the active ingredients in medicinal plants so that they could be
Incorrect.
Correct!

Synthesizing physostigmine: a chemical landmark

Along with Josef Pikl, his colleague from Vienna, Julian returned to the US and Howard University, this time as head of the chemistry department. Of immense interest to Julian was the African Calabar bean, an effective treatment for glaucoma. In glaucoma, fluid in the eyeball does not drain properly, potentially damaging the optic nerve and leading to blindness. Calabar beans contain the alkaloid physostigmine (also called eserine), which reduces pressure inside the eyeball. But natural Calabar beans were in short supply. This poisonous African plant was hard to grow and produced only a small amount of physostigmine, which was difficult to extract (Figure 5).

Figure 5: The African Calabar plant (Physostigma venenosum). The bean, or seed, of the plant is shown at the bottom right (numbers 3 and 4).

If the alkaloid could be manufactured in a lab, it could give hope to many glaucoma sufferers. Julian and Pikl embarked on a mission to synthesize physostigmine. But in order to make a compound in a laboratory, it is first necessary to determine its structure. Today, scientists can use an array of techniques such as X-ray crystallography to determine the composition of chemical compounds, but in Julian’s day, scientists undertook a painstaking process of repeating meticulous steps over and over with minor changes and observing properties of the compound. At each step, Julian used a “combustion train” to test his resulting compounds. This technique, developed about 100 years before Julian’s work, was the standard method for organic chemical analysis. It requires burning organic compounds and weighing the resulting gases to determine the component atoms and their ratio (NOVA, 2007).

Analyzing organic compounds presents particular challenges since carbon atoms can bond in so many ways. The ringed structure of many organic molecules is one of nature's fundamental building blocks. Alkaloids contain one or more carbon rings with nitrogen atoms, and although they share a similar structure, their properties vary widely since they contain different numbers of carbon rings that are assembled in different ways. The molecular structure of two common alkaloids, caffeine and nicotine, is shown in Figure 6.

Figure 6: The ringed carbon structure is clearly visible in these two common alkaloids, caffeine and nicotine.

Personal conflicts made Julian’s time at Howard difficult, so he returned to DePauw University as a research fellow when invited by his former advisor, William Blanchard. Julian was tasked with redesigning the chemistry program to have a more practical focus (Figure 7). Instead of taking a heavy load of theoretical courses, seniors were assigned a fundamental research problem. The results were impressive, leading to 11 publications in the Journal of the American Chemical Society over four years (Witkop, 1980).

Figure 7: Percy Julian in the Minshall Laboratory at DePauw University during his tenure as a research fellow.

image ©DePauw University & United Methodist Church

Julian and Pikl continued their work on physostigmine at DePauw, reporting their research in a series of five papers published in the Journal of the American Chemical Society. After three years, Julian was close to synthesizing the chemical. Just then, Sir Robert Robinson, head of the chemistry department at Oxford University, claimed to have discovered the precursors to synthetic physostigmine, but Robinson’s compounds were very different from the ones that Julian proposed. Julian announced that he would prove his research was correct, writing in his fourth paper, “We believe that the English authors are in error” (qtd. in Witkop, 1980), an especially bold statement considering that Sir Robert Robinson was the most important organic chemist at the time (and went on to win the Nobel Prize in 1947). Notably, Julian and Pikl carried out their work with only the assistance of DePauw undergraduate students whereas Robinson led a well-funded laboratory staffed with experienced graduate students. If Julian was wrong, his challenge would likely be a career-ending move.

On a February night in 1935, Julian held a test tube with crystals of his synthetic chemical while Pikl held a test tube with natural physostigmine. Identical melting points would indicate that they were the same compound. At the same moment, the two men began heating their test tubes. Pikl cried, “I’m melting!” Julian responded, “Me too!” The thermometers registered the same melting point; the synthesis of physostigmine was successful (Figure 8). Julian’s crowning paper, the fifth in the series, “The Complete Synthesis of Physostigmine (Eserine)," was published in April 1935 (Julian & Pikl). Congratulations poured in from around the globe. Julian had achieved the status of world-class chemist at age 36 (Haber, 1992).

Figure 8: In 1935, Percy Julian’s successful synthesis of physostigmine in 11 steps made treatment possible for many glaucoma sufferers. (Wikimedia Commons)

Comprehension Checkpoint
What method did Julian use to determine the composition of chemical compounds?
Correct!
Incorrect.

From academia to industry

In spite of international acclaim, Julian was not offered a professorship when his fellowship ran out. He was considered for the position of head of DePauw University’s chemistry department, but the Board of Trustees felt it would be "inadvisable" to name Julian to the chemistry faculty. Shortly thereafter, Julian and Pikl were invited to an interview at DuPont, the country’s leading chemical company. Although Pikl received a job offer, Julian was told, “We didn’t know you were a Negro” (NOVA, 2007). After numerous rejections, Julian was eventually offered a position at a research institute in Appleton, Wisconsin. All arrangements were in place for Julian to start work at the Institute of Paper Chemistry when an embarrassing discovery was made: An old Appleton city statute prohibited the “housing of a Negro overnight.” However, the vice president of Glidden Company in Chicago learned of the development and immediately invited Julian to become Director of Research for Glidden’s soy products division. Julian’s 1936 appointment as the first African American to oversee a major industrial lab ushered in a new era of acceptance of black scientists in this country (Haber, 1992).

In the 1930s, soy’s popularity was just about to skyrocket as industry was exploring new uses for the crop. Julian’s first assignment at Glidden was to isolate soy protein. He became the first person in the US to produce vegetable protein on an industrial scale, taking Glidden from a loss of $35K to a profit of $135K in a single year. The soy protein was initially used for paper production, but scores of new products followed, among them latex paint, cooking oil, shortening, lecithin for creamier chocolate, plastics, linoleum, glue, livestock feed, and dog food. In addition, Julian developed a fire-extinguishing foam that was used by the military during WWII. Julian registered more than 100 patents for soy products while at Glidden and helped to make soybeans an important crop in the US, which is now the number one soy producer in the world (USDA, 2012).

Comprehension Checkpoint
Julian became the first African American to
Correct!
Incorrect.

A lucky accident leads to large-scale hormone synthesis

Julian was also interested in a different family of organic chemical compounds that could be extracted from soybeans: steroids. Steroids play many key roles in the body; they are involved in digestion, growth, sexual development, reproduction, and the body’s response to injury. Despite their very different functions, they share a remarkably similar structure. Like alkaloids, steroid compounds are characterized by a ringed carbon structure.

Steroids produced by the body include cholesterol and steroid hormones such as progesterone, estrogen, and testosterone (sex hormones), cortisol, prednisone, and aldosterone. The underlying framework of all steroids is four fused carbon rings, and in the 1930s scientists realized that plants also make steroids – and that plant steroids have the same four-carbon ring structure as in animal steroids. The specific atoms attached to the core ringed structure and their positions determine a steroid’s chemical properties. You can see the similarity in the structure of different hormones in Figure 9.

Figure 9: The 4-ringed structure of various steroid hormones.

image ©David Richfield and Mikael Häggström

Scientists around the world began focusing on using substances from plants as the starting point for making human steroids. Julian was particularly interested in the sex hormone progesterone, which was important in treating problem pregnancies, and was later used in birth control pills and treatment for certain types of cancer. Previously, female hormones were made from cholesterol extracted in very limited quantities from the brains and spinal cords of cattle, but if soy steroids could be extracted and then converted into progesterone, the therapeutic hormone could be produced on a large scale.

While researching physostigmine, Julian had found white crystals in a dish of Calabar bean oil. These turned out to be a plant steroid called stigmasterol. Scientists already knew how to convert stigmasterol to progesterone, but there was no way to produce the quantities needed to become a widespread medical treatment. Stigmasterol was also found in soybean oil, but the labor-intensive task of extracting it produced very limited quantities at a prohibitive cost of $100 per pound ($220 per kilo).

Throughout history, serendipity – or a stroke of luck – has often played a role in scientific discovery. One day in 1939, an unexpected mishap led Julian to a major discovery. A water leak into a 100,000-gallon (3,758.5 cm3) tank of soybean oil at Glidden created an unusual byproduct: a white sludge that formed when the water mixed with the oil. In the sludge were stigmasterol crystals, like those that Julian had discovered in the dish of Calabar oil. He realized that water forced the stigmasterol out of the oils, and with this simple way to extract the sterols (a subgroup of steroids) in large quantities came a way to manufacture hormones in bulk. In 1940, Julian sent the first commercial shipment of artificial progesterone produced in America to the Upjohn Company. Testosterone and other synthesized hormones followed, bringing millions of dollars to Glidden (NOVA, 2007).

Comprehension Checkpoint
Estrogen, testosterone, and cortisol are
Correct!
Incorrect.

Cortisone: miracle treatment for rheumatoid arthritis

In 1948, the Mayo Clinic in Minnesota announced the discovery of a miracle treatment for rheumatoid arthritis, a painful disease that causes inflammation of the joints and destroys cartilage and bone. Unfortunately, this new remedy, a steroid hormone called cortisone, was out of reach for most people. Cortisone was taken from the adrenal glands of oxen, and it would be necessary to slaughter 167 cattle to get a single gram of cortisone.

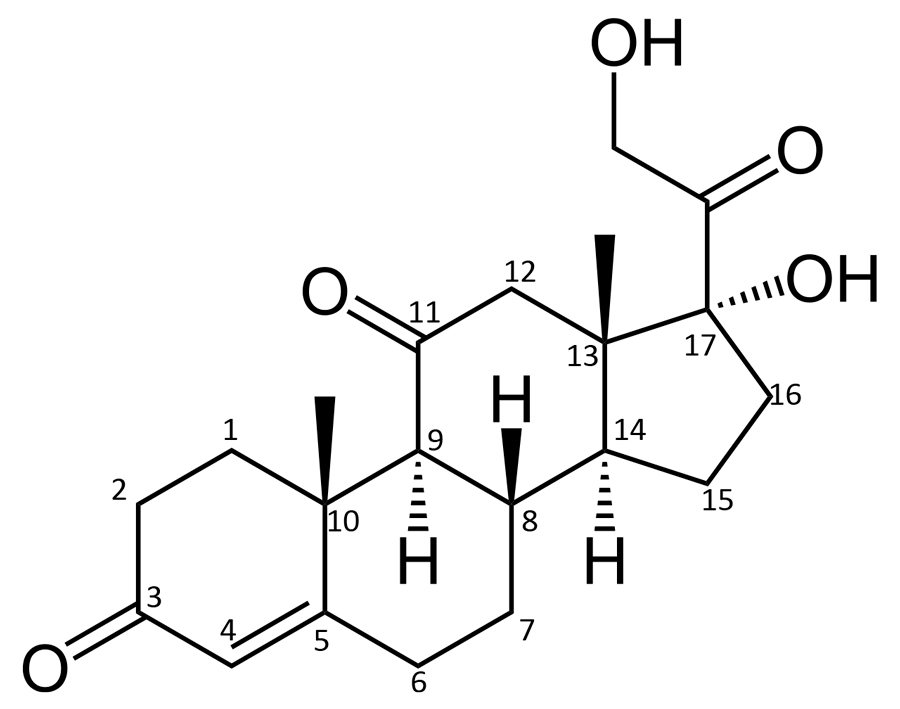
All over the world, chemists, including Julian, joined the race to find a way to inexpensively produce cortisone. Just as Julian had succeeded in making sex hormones from soybeans, he likewise hoped to make cortisone from soy sterols. Cortisone had the same four interlocking rings of carbon found in other steroids, but cortisone proved particularly challenging to create artificially because of a single oxygen atom in position 11 (see Figure 10). In order to synthesize cortisone, scientists had to find a way to add the oxygen atom into exactly the right spot on the molecule. In the human body an enzyme does the job, but in the lab this was proving to be an insurmountable task.

Figure 10: Cortisone molecule. Note the single oxygen atom in position 11.

In 1948, Julian discovered a process for synthesizing “Reichstein’s Substance S,” which was only one step away from complete cortisone synthesis – aside from that pesky oxygen atom at position 11. Substance S could be produced easily and inexpensively, so if that final step could be completed, cortisone could be manufactured in mass quantities (Witkop, 1980).

The problem vexed scientists for two years until in 1951 chemists from the Upjohn Company found the solution to the oxygen atom problem: A common mold contained an enzyme that would insert an oxygen atom into the correct position during fermentation. The microorganism could work on a variety of materials, including Julian’s Substance S. Now there was a way to produce an unlimited supply of cortisone at an affordable price. Still today, Substance S remains a key ingredient in the production of cortisone and its derivatives, including immune suppressing drugs for organ transplants (American Chemical Society, 1999).

Comprehension Checkpoint
When cortisone was discovered as a treatment for rheumatoid arthritis, not many people used it because
Correct!
Incorrect.

Life after Glidden

The Glidden Company wanted to get out of the steroid business, so in 1953 Julian left to start Julian Laboratories where he could focus on his own interests. Instead of making steroids from soybeans, Julian turned his attention to the Mexican yam, a richer source of steroids. He opened manufacturing plants in Mexico and Guatemala. There he used diosgenin, a compound found in Mexican yams, to synthesize prednisone, testosterone, progesterone, and other products (Chemical Heritage Foundation, 2005).

Beyond the thrill of doing excellent chemistry, Julian was motivated by being able to make important medicine obtainable for people who would not otherwise be able to afford it, even when it cut into his profits. Just when he could have raised the price of his anti-inflammatories, instead Julian cut the price to one tenth of what it had been.

Julian was becoming a symbol of national pride (Figure 11). In 1946, Reader’s Digest featured Julian in a story titled “The Man Who Wouldn’t Give Up.” In 1947, he won the Spingarn Medal, the highest honor given by the National Association for the Advancement of Colored People (NAACP). He was on the board of several colleges and universities and was awarded many honorary degrees. In 1950, Julian was named "Chicagoan of the Year." But regardless of great success, he faced ongoing obstacles. In 1951, the Julians were the first African American family to live in well-to-do Oak Park, Illinois. Their house was the target of arsonists twice, but the community rallied in support.

Figure 11: Percy Lavon Julian commemorative stamp issued by the US Postal Service as part of the Black Heritage Series, 1993.

image ©United States Postal Service

In his later years, Julian devoted much time to promoting racial equality. In 1960, Julian made Ebony magazine’s list of wealthiest African Americans. The next year, he sold his company for $2 million to pharmaceutical giant Smith, Kline, and French. He then opened the Julian Research Institute, a non-profit organization to train upcoming research chemists.

His science of successfully making hormones from plants stood out in the history of medicine and improved human lives worldwide. But looking back on his life, he said:

I feel that my own good country robbed me of the chance for some of the great experiences that I would have liked to live through. …I have been, perhaps, a good chemist, but not the chemist that I dreamed of being.

He claimed that “the American brand of apartheid made the Negro with genuine scientific talent and scientific yearnings probably the most poignantly tragic intellectual,” but he saw radical changes in this country during his lifetime and believed in a future that would ensure “success of this new Negro intellectual” (qtd in Haber, 1992, p. 144).

Julian died of liver cancer in 1975. At his funeral, Judge Archibald J. Carey, Jr., described him as “the most complete human being I have ever known, a man who made contributions to healing, not only of the body, but of our society where he has built bridges between many people and groups” (qtd in Witkop, 1980).

After his death, he continued to receive honors. Julian was inducted into the National Inventors Hall of Fame for his Preparation of Cortisone (National Inventors Hall of Fame, 2014). Schools, buildings, and a street were named after him. In 1993, the US Postal Service issued a commemorative stamp in Julian’s honor (Figure 9). In 1999, the American Chemical Society recognized Julian's synthesis of physostigmine at DePauw University's Minshall Laboratory as a National Historic Chemical Landmark. Julian’s methods are still used today, and derivatives of the products he synthesized continue to transform medical treatment for people everywhere.


Bonnie Denmark, M.A./M.S. “Percy Lavon Julian” Visionlearning Vol. SCIRE-2 (4), 2015.

References

  • American Chemical Society National Historic Chemical Landmarks. (1999). Percy Julian: Synthesis of physostigmine. http://www.acs.org/content/dam/acsorg/education/whatischemistry/landmarks/julian/percy-julian-synthesis-of-physostigmine-commemorative-booklet.pdf

  • Chemical Heritage Foundation. (2005). A day in the life of Julian the entrepreneur. Science Alive! http://www.chemheritage.org/percy-julian/activities/10b-old10c.html
  • DePauw University. (2009). The Life of Percy Lavon Julian ’20. http://www.depauw.edu/news-media/latest-news/details/22969/
  • Haber, L. (1992). Black pioneers of science and invention, 2nd edition. Odyssey: Harcourt Brace & Company.
  • Julian, P.L., & Pikl, J. (1935). Studies in the indole series. V. The complete synthesis of physostigmine (eserine). Journal of the American Chemical Society 57,(4), 755–757.
  • National Inventors Hall of Fame (2014). Percy Lavon Julian: Preparation of cortisone, 1999. http://invent.org/inductee-detail/?IID=84
  • NOVA. (2007). Forgotten genius. http://www.pbs.org/wgbh/nova/physics/forgotten-genius.html
  • USDA. (2012). Soybeans & oil crops. United States Department of Agriculture, Economic Research Service. http://www.ers.usda.gov/topics/crops/soybeans-oil-crops/trade.aspx#US
  • Witkop, B. (1980). Percy Lavon Julian 1899–1975: A biographical memoir. National Academy Press. National Academy of Sciences. http://www.nasonline.org/publications/biographical-memoirs/memoir-pdfs/julian-percy.pdf